W trakcie wycieczki trwającej trzy dni, uczeń pierwszego dnia wydał 20% swoich pieniędzy oraz dodatkowe 10 zł. Kolejnego dnia wydał 0,3 tego, co pozostało, oraz dodatkowo 6 zł. Ostatniego, trzeciego dnia, uczeń wydał połowę pozostałych funduszy, oraz dodatkowe 7,50 zł. Oblicz, jakimi oszczędnościami dysponował uczeń na początku wycieczki.
W drugim dniu wydał:
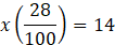
W trzecim dniu wydał:
Uczeń wydał wszystkie swoje pieniądze, stąd:
Oznacz przez x ilość posiadanych pieniędzy. Jeśli w pierwszym dniu wydał
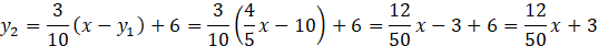
W drugim dniu jeśli wydał
Skoro wydał wszystkie pieniądze, to musi zachodzić
Ćwiczenie 8.
263Zadanie 1.
265Zadanie 2.
265Zadanie 3.
265Zadanie 4.
265Zadanie 5.
265Zadanie 11.
266Zadanie 12.
266Zadanie 14.
266Zadanie 15.
266Zadanie 1.
277Zadanie 2.
277Zadanie 3.
278Zadanie 4.
278Zadanie 5.
278Zadanie 6.
278Zadanie 7.
278Zadanie 6.
284Zadanie 8.
284Zadanie 1.
291Zadanie 2.
291Zadanie 3.
291Zadanie 1.
302Zadanie 2.
302Zadanie 6.
302Zadanie 1.
308Zadanie 2.
308