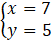
Wiedząc, że gdyby muł wziął jedną z miar oślicy na grzbiet, to jego ładunek byłby dwa razy większy od jego, zaś gdyby ona wzięła jedną z jego miar na swój grzbiet, to osioł miałby tyle co oślica, oblicz, ile miar wiozła oślica, a ile muł.
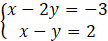
Stąd:
Czyli:
Oznacz przez x liczbę miar muła, a przez y – liczbę miar oślicy.
Analizując tekst, ułóż układ równań:
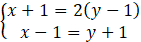
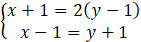
Rozwiązać to możesz metodą przeciwnych współczynników. Pomnóż drugie równanie przez
Ćwiczenie 8.
263Zadanie 1.
265Zadanie 2.
265Zadanie 3.
265Zadanie 4.
265Zadanie 5.
265Zadanie 11.
266Zadanie 12.
266Zadanie 14.
266Zadanie 15.
266Zadanie 1.
277Zadanie 2.
277Zadanie 3.
278Zadanie 4.
278Zadanie 5.
278Zadanie 6.
278Zadanie 7.
278Zadanie 6.
284Zadanie 8.
284Zadanie 1.
291Zadanie 2.
291Zadanie 3.
291Zadanie 1.
302Zadanie 2.
302Zadanie 6.
302Zadanie 1.
308Zadanie 2.
308