Określ, o jakiej liczbie mowa, bazując na podanych informacjach:
Gdy do liczby dwucyfrowej dodamy potrojoną cyfrę jedności, to otrzymamy 44. Zaś jeżeli od liczby o przestawionych cyfrach odejmiemy pięciokrotną cyfrę dziesiątek pierwszej liczby, to otrzymamy 52.
Wyznacznik układu:
Następne wyznaczniki:
Rozwiązania:
Oznacz przez x liczbę dziesiątek, a przez y – liczbę jedności
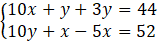
Analizując tekst, ułóż układ równań:
Jednym ze sposobów rozwiązania układu jest wyznaczenie x i y metodą wyznaczników. Znajdź wyznacznik główny układu, a następnie wyznaczniki
Ćwiczenie 8.
263Zadanie 1.
265Zadanie 2.
265Zadanie 3.
265Zadanie 4.
265Zadanie 5.
265Zadanie 11.
266Zadanie 12.
266Zadanie 14.
266Zadanie 15.
266Zadanie 1.
277Zadanie 2.
277Zadanie 3.
278Zadanie 4.
278Zadanie 5.
278Zadanie 6.
278Zadanie 7.
278Zadanie 6.
284Zadanie 8.
284Zadanie 1.
291Zadanie 2.
291Zadanie 3.
291Zadanie 1.
302Zadanie 2.
302Zadanie 6.
302Zadanie 1.
308Zadanie 2.
308