Para znajomych wyrusza w swoją stronę z domów oddalonych od siebie o
Następne wyznaczniki:
Rozwiązania:
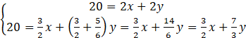
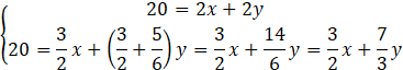
Oznacz przez x i y prędkości chłopaków. Musisz rozwiązać układ równań:
Zachodzi to, gdyż droga to iloczyn szybkości i czasu (stąd 2x, a nie x).
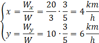
Jednym ze sposobów rozwiązania układu jest wyznaczenie x i y metodą wyznaczników. Znajdź wyznacznik główny układu, a następnie wyznaczniki
Ćwiczenie 8.
263Zadanie 1.
265Zadanie 2.
265Zadanie 3.
265Zadanie 4.
265Zadanie 5.
265Zadanie 11.
266Zadanie 12.
266Zadanie 14.
266Zadanie 15.
266Zadanie 1.
277Zadanie 2.
277Zadanie 3.
278Zadanie 4.
278Zadanie 5.
278Zadanie 6.
278Zadanie 7.
278Zadanie 6.
284Zadanie 8.
284Zadanie 1.
291Zadanie 2.
291Zadanie 3.
291Zadanie 1.
302Zadanie 2.
302Zadanie 6.
302Zadanie 1.
308Zadanie 2.
308