Odpowiedz, jakich liczb dotyczy przedstawiona informacja:
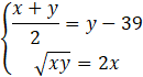
Średnia arytmetyczna dwóch liczb jest o 39 mniejsza od większej z nich, zaś średnia geometryczna tych liczb jest dwa razy większa od mniejszej liczby.
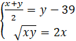
Wstaw wartość y do pierwszego równania:
y wynosi zatem:
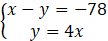
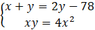
Oznacz przez x mniejszą, zaś przez y większą z liczb. Otrzymasz układ równań:
Rozwiązać to możesz metodą podstawiania. Wartość y z drugiego równania podstaw do pierwszego równania, by znaleźć x.
Ćwiczenie 8.
263Zadanie 1.
265Zadanie 2.
265Zadanie 3.
265Zadanie 4.
265Zadanie 5.
265Zadanie 11.
266Zadanie 12.
266Zadanie 14.
266Zadanie 15.
266Zadanie 1.
277Zadanie 2.
277Zadanie 3.
278Zadanie 4.
278Zadanie 5.
278Zadanie 6.
278Zadanie 7.
278Zadanie 6.
284Zadanie 8.
284Zadanie 1.
291Zadanie 2.
291Zadanie 3.
291Zadanie 1.
302Zadanie 2.
302Zadanie 6.
302Zadanie 1.
308Zadanie 2.
308