W tym zadaniu musisz rozwiązać nierówność
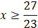
Rozwiązanie to przedział:
Pomnóż całą nierówność przez 6, by pozbyć się ułamków. Następnie pozostaw wyrazy z x po lewej stronie, a całą resztę – po prawej. Pamiętaj, iż mnożąc nierówność przez liczbę ujemną, zmienia się znak nierówności.
Ćwiczenie 8.
263Zadanie 1.
265Zadanie 2.
265Zadanie 3.
265Zadanie 4.
265Zadanie 5.
265Zadanie 11.
266Zadanie 12.
266Zadanie 14.
266Zadanie 15.
266Zadanie 1.
277Zadanie 2.
277Zadanie 3.
278Zadanie 4.
278Zadanie 5.
278Zadanie 6.
278Zadanie 7.
278Zadanie 6.
284Zadanie 8.
284Zadanie 1.
291Zadanie 2.
291Zadanie 3.
291Zadanie 1.
302Zadanie 2.
302Zadanie 6.
302Zadanie 1.
308Zadanie 2.
308