W tym zadaniu musisz wyznaczyć wszystkie funkcje liniowe przedziale
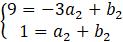
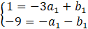
Dodając stronami:
Zatem:
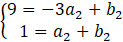
Druga z funkcji:
Dodając stronami:
Zatem:
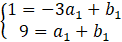
Ostatecznie, wzory funkcji to:
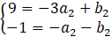
Jeśli funkcja ma być określona na przedziale
Ćwiczenie 8.
263Zadanie 1.
265Zadanie 2.
265Zadanie 3.
265Zadanie 4.
265Zadanie 5.
265Zadanie 11.
266Zadanie 12.
266Zadanie 14.
266Zadanie 15.
266Zadanie 1.
277Zadanie 2.
277Zadanie 3.
278Zadanie 4.
278Zadanie 5.
278Zadanie 6.
278Zadanie 7.
278Zadanie 6.
284Zadanie 8.
284Zadanie 1.
291Zadanie 2.
291Zadanie 3.
291Zadanie 1.
302Zadanie 2.
302Zadanie 6.
302Zadanie 1.
308Zadanie 2.
308