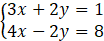
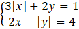
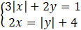
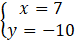
Układ równań rozwiązujemy graficznie. Wyrysowujemy oba równania i odczytujemy, iż przecinają się one w punkcie
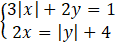
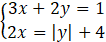
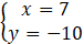
Graficznie zauważ, iż równania te przecinają się w punkcie
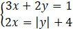
Inną metodą:
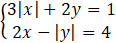
Zauważ, iż z drugiego równania wynika dodatniość zmiennej x (ze względu na moduł z y, prawa strona jest zawsze dodatnia, zatem
Rozważ dwa przypadki:
Weź pierwszy przypadek (czyli założenie, iż
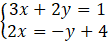
Podstawiając do pierwszego równania:
Jest to rozwiązanie sprzeczne, gdyż jest opozycyjne do założenia
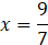
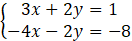
Mnożąc drugie równanie przez -2 i dodając stronami do pierwszego:
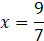
Podstawiając do pierwszego równania:
Jest to zgodne z założeniem. Oznacza to, iż rozwiązaniem wyjściowego układu równań jest para liczb: