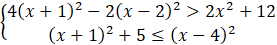
W tym zadaniu musisz rozwiązać układ nierówności
Rozwiń wszystkie nawiasy i pozostaw w obu nierównościach wyrazy z x po lewej stronie, a całą resztę – po prawej. Rozwiązaniem jest część wspólna zbiorów rozwiązań obu nierówności. Zauważ, iż zbiory
Ćwiczenie 8.
263Zadanie 1.
265Zadanie 2.
265Zadanie 3.
265Zadanie 4.
265Zadanie 5.
265Zadanie 11.
266Zadanie 12.
266Zadanie 14.
266Zadanie 15.
266Zadanie 1.
277Zadanie 2.
277Zadanie 3.
278Zadanie 4.
278Zadanie 5.
278Zadanie 6.
278Zadanie 7.
278Zadanie 6.
284Zadanie 8.
284Zadanie 1.
291Zadanie 2.
291Zadanie 3.
291Zadanie 1.
302Zadanie 2.
302Zadanie 6.
302Zadanie 1.
308Zadanie 2.
308