Oblicz, ile lat miał Diofantos, kiedy umarł, analizując zamieszczony tekst:
„Przechodniu! Pod tym kamieniem spoczywają prochy Diofantosa, który umarł w głębokiej starości. Przez szóstą część swego życia był on dzieckiem, przez dwunastą część młodzieńcem. Następnie upłynęła siódma część jego życia, zanim się ożenił. W pięć lat po zawarciu związku małżeńskiego urodził mu się syn, który żył dwa razy krócej od niego. W cztery lata po śmierci swego syna Diofantos opłakiwany przez swych najbliższych zasnął snem wiecznym”.
Żył 84 lata, zaś jego syn 42 lata.
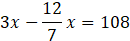
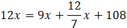
Oznacz przez x długość życia Diofantosa.
-
-
-
- po 5 latach urodził mu się syn. Nastąpiło to zatem, gdy Diofantos był w wieku
- jego syn żył
- syn zmarł 4 lata przed Diofantosem, zatem gdy
Otrzymujesz ostatecznie:
Ćwiczenie 8.
263Zadanie 1.
265Zadanie 2.
265Zadanie 3.
265Zadanie 4.
265Zadanie 5.
265Zadanie 11.
266Zadanie 12.
266Zadanie 14.
266Zadanie 15.
266Zadanie 1.
277Zadanie 2.
277Zadanie 3.
278Zadanie 4.
278Zadanie 5.
278Zadanie 6.
278Zadanie 7.
278Zadanie 6.
284Zadanie 8.
284Zadanie 1.
291Zadanie 2.
291Zadanie 3.
291Zadanie 1.
302Zadanie 2.
302Zadanie 6.
302Zadanie 1.
308Zadanie 2.
308