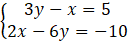
W tym zadaniu musisz rozwiązać układ równań
Metoda podstawiania:
Wyznaczamy z pierwszego równania x i podstawiamy do drugiego:
Jest to równanie tożsamościowe, więc spełnia je każdy
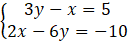
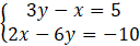
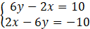
Metoda przeciwnych współczynników:
Dodając stronami otrzymujemy:
Jest to równanie tożsamościowe, więc spełnia je każda liczba
Metoda graficzna:
Zauważamy, iż wykresy równań się pokrywają. Jest to układ równań liniowo zależnych (tożsamościowy), więc spełnia je każda liczba
By rozwiązać układ metodą podstawiania wyznacz z pierwszego równania x i podstaw jego wartość do drugiego. Otrzymasz w ten sposób równość
Ćwiczenie 8.
263Zadanie 1.
265Zadanie 2.
265Zadanie 3.
265Zadanie 4.
265Zadanie 5.
265Zadanie 11.
266Zadanie 12.
266Zadanie 14.
266Zadanie 15.
266Zadanie 1.
277Zadanie 2.
277Zadanie 3.
278Zadanie 4.
278Zadanie 5.
278Zadanie 6.
278Zadanie 7.
278Zadanie 6.
284Zadanie 8.
284Zadanie 1.
291Zadanie 2.
291Zadanie 3.
291Zadanie 1.
302Zadanie 2.
302Zadanie 6.
302Zadanie 1.
308Zadanie 2.
308