Wiedząc, że jeśli do stopu złota ze srebrem dodamy
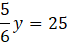
Podstawiamy znaleziony x do pierwszego równania:
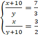
Następnie podstawiamy do wyrażenia na x:
Czyli:
Oznacz przez x masę złota, a przez y – masę srebra.
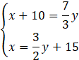
Analizując tekst, ułóż układ równań:
Rozwiązać to możesz metodą podstawiania. Wartość x z drugiego równania podstaw do pierwszego równania, by znaleźć wartość y. Następnie do pierwszego równania podstaw y, by znaleźć wartość x.
Ćwiczenie 8.
263Zadanie 1.
265Zadanie 2.
265Zadanie 3.
265Zadanie 4.
265Zadanie 5.
265Zadanie 11.
266Zadanie 12.
266Zadanie 14.
266Zadanie 15.
266Zadanie 1.
277Zadanie 2.
277Zadanie 3.
278Zadanie 4.
278Zadanie 5.
278Zadanie 6.
278Zadanie 7.
278Zadanie 6.
284Zadanie 8.
284Zadanie 1.
291Zadanie 2.
291Zadanie 3.
291Zadanie 1.
302Zadanie 2.
302Zadanie 6.
302Zadanie 1.
308Zadanie 2.
308