W tym zadaniu musisz podać wartość parametru k, dla którego podane funkcje
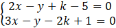
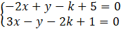
Podstawiając to do pierwszego równania:
Rozwiązaniem ogólnym jest para:
Jeśli rozwiązania mają przecinać się wewnątrz kwadratu, to:
Rozwiązaniem jest część wspólna (przecięcie zbiorów), zatem:
Zbuduj układ równań, składający się z obu równań. Pomnóż pierwsze równanie przez -1 i dodaj stronami do drugiego. Otrzymasz w ten sposób wartość x w zależności od k. Podstawiając to do pierwszego równania otrzymasz wartość y w zależności od k. Otrzymane równania będą się przecinały wewnątrz kwadratu wtedy i tylko wtedy, gdy:
Budujesz zatem nowy układ nierówności:
Ćwiczenie 8.
263Zadanie 1.
265Zadanie 2.
265Zadanie 3.
265Zadanie 4.
265Zadanie 5.
265Zadanie 11.
266Zadanie 12.
266Zadanie 14.
266Zadanie 15.
266Zadanie 1.
277Zadanie 2.
277Zadanie 3.
278Zadanie 4.
278Zadanie 5.
278Zadanie 6.
278Zadanie 7.
278Zadanie 6.
284Zadanie 8.
284Zadanie 1.
291Zadanie 2.
291Zadanie 3.
291Zadanie 1.
302Zadanie 2.
302Zadanie 6.
302Zadanie 1.
308Zadanie 2.
308