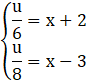
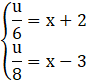
W tym zadaniu musisz obliczyć ilość uczniów w szkole i ilość ławek, które ustawiono w sali gimnastycznej, uwzględniając, że gdyby na każdej ławce usiadło 6 uczniów, to zabrakłoby dwóch ławek, natomiast przy 8 uczniach na jednej ławce – zostałyby 3 ławki.
Zinterpretuj dane:
Zapisz niewiadome:
Zinterpretuj dane:
Gdyby na każdej ławce usiadło 6 uczniów, to zabrakłoby dwóch ławek. Gdyby zaś na każdej ławce usiadło 6 uczniów, to zabrakłoby dwóch ławek.
Gdyby zaś na każdej ławce usiadło 8 uczniów, to zostałyby 3 ławki.
Stwórz układ równań:
Rozwiąż go.
Odejmij stronami.
Oblicz u.
Zadanie 5.1.
153Zadanie 5.2.
153Zadanie 5.3.
153Zadanie 5.4.
153Zadanie 5.6.
154Zadanie 5.7.
154Zadanie 5.8.
154Zadanie 5.9.
154Zadanie 5.10.
155Zadanie 5.11.
155Zadanie 5.12.
155Zadanie 5.13.
155Zadanie 5.14.
156Zadanie 5.15.
156Zadanie 5.16.
156Zadanie 5.17.
157Zadanie 5.18.
157Zadanie 5.19.
158Zadanie 5.20.
158Zadanie 5.21.
158Zadanie 5.22.
158Zadanie 5.23.
159Zadanie 5.24.
159Zadanie 5.25.
160Zadanie 5.26.
160Zadanie 5.27.
160Zadanie 5.28.
160Zadanie 5.29.
160Zadanie 5.30.
161Zadanie 5.31.
161Zadanie 5.34.
161Zadanie 5.35.
162Zadanie 5.36.
162Zadanie 5.37.
162Zadanie 5.38.
163Zadanie 5.39.
163Zadanie 5.40.
163Zadanie 5.41.
163Zadanie 5.42.
163Zadanie 5.44.
164Zadanie 5.45.
164Zadanie 5.46.
164Zadanie 18.
171Zadanie 19.
171Zadanie 20.
171Zadanie 21.
172Zadanie 22.
172Zadanie 23.
172Zadanie 32.
173Zadanie 36.
174Zadanie 40.
174