W tym zadaniu musisz wyznaczyć wiek dziadka, babci i wnuka których obecna suma lat wynosi 126 lat, wiedząc , że dwa lata temu dziadek miał o 4 lata więcej niż babcia i wnuk razem, natomiast za 6 lat dziadek będzie 7 razy starszy od wnuka.
| teraz | 2 lata temu | Za 6 lat | |
| Wiek dziadka | d | d-2 | d+6 |
| Wiek babci | b | b-2 | b+6 |
| Wiek wnuczka | w | w-2 | w+6 |
Zapisz dane:
| teraz | 2 lata temu | Za 6 lat | |
| Wiek dziadka | d | d-2 | d+6 |
| Wiek babci | b | b-2 | b+6 |
| Wiek wnuczka | w | w-2 | w+6 |
Zinterpretuj dane i utwórz równania.
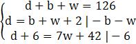
Dziadek, babcia i wnuczek obecnie mają razem 126 lat.
Dwa lata temu dziadek miał o 4 lata więcej niż babcia i wnuk razem.
Za 6 lat dziadek będzie 7 razy starszy od wnuka.
Stwórz układ równań.
Rozwiąż go.
Dodaj do siebie pierwsze i drugie równanie.
Podstaw d do równań.
Zadanie 5.1.
153Zadanie 5.2.
153Zadanie 5.3.
153Zadanie 5.4.
153Zadanie 5.6.
154Zadanie 5.7.
154Zadanie 5.8.
154Zadanie 5.9.
154Zadanie 5.10.
155Zadanie 5.11.
155Zadanie 5.12.
155Zadanie 5.13.
155Zadanie 5.14.
156Zadanie 5.15.
156Zadanie 5.16.
156Zadanie 5.17.
157Zadanie 5.18.
157Zadanie 5.19.
158Zadanie 5.20.
158Zadanie 5.21.
158Zadanie 5.22.
158Zadanie 5.23.
159Zadanie 5.24.
159Zadanie 5.25.
160Zadanie 5.26.
160Zadanie 5.27.
160Zadanie 5.28.
160Zadanie 5.29.
160Zadanie 5.30.
161Zadanie 5.31.
161Zadanie 5.34.
161Zadanie 5.35.
162Zadanie 5.36.
162Zadanie 5.37.
162Zadanie 5.38.
163Zadanie 5.39.
163Zadanie 5.40.
163Zadanie 5.41.
163Zadanie 5.42.
163Zadanie 5.44.
164Zadanie 5.45.
164Zadanie 5.46.
164Zadanie 18.
171Zadanie 19.
171Zadanie 20.
171Zadanie 21.
172Zadanie 22.
172Zadanie 23.
172Zadanie 32.
173Zadanie 36.
174Zadanie 40.
174