W tym zadaniu musisz obliczyć, jakie było początkowe stężenie roztworów, wiedząc, że przy zmieszaniu 2kg 1 roztworu z 4kg drugiego otrzyma się 50% roztwór, a przy zmieszaniu 4kg 1 roztworu z 6kg drugiego otrzyma się 48% roztwór
| 2 kg | 4 kg | 6 kg | 10 kg |
| x | y | x+y | |
| 4 kg | 6 kg | 50% | 48% |
Zapisz niewiadome.
| 2 kg | 4 kg | 6 kg | 10 kg |
| x | y | x+y | |
| 4 kg | 6 kg | 50% | 48% |
Zinterpretuj dane.
Jeśli zmiesza 2 kg pierwszego roztworu i 4 kg drugiego roztworu, to otrzyma roztwór 50%.
Jeśli natomiast zmiesza 4 kg pierwszego roztworu i 6 kg drugiego roztworu, to otrzyma roztwór 48%.
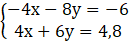
Utwórz układ równań.
Dodaj równania stronami.
Oblicz x.
Oblicz początkowe stężenie roztworów.
Zadanie 5.1.
153Zadanie 5.2.
153Zadanie 5.3.
153Zadanie 5.4.
153Zadanie 5.6.
154Zadanie 5.7.
154Zadanie 5.8.
154Zadanie 5.9.
154Zadanie 5.10.
155Zadanie 5.11.
155Zadanie 5.12.
155Zadanie 5.13.
155Zadanie 5.14.
156Zadanie 5.15.
156Zadanie 5.16.
156Zadanie 5.17.
157Zadanie 5.18.
157Zadanie 5.19.
158Zadanie 5.20.
158Zadanie 5.21.
158Zadanie 5.22.
158Zadanie 5.23.
159Zadanie 5.24.
159Zadanie 5.25.
160Zadanie 5.26.
160Zadanie 5.27.
160Zadanie 5.28.
160Zadanie 5.29.
160Zadanie 5.30.
161Zadanie 5.31.
161Zadanie 5.34.
161Zadanie 5.35.
162Zadanie 5.36.
162Zadanie 5.37.
162Zadanie 5.38.
163Zadanie 5.39.
163Zadanie 5.40.
163Zadanie 5.41.
163Zadanie 5.42.
163Zadanie 5.44.
164Zadanie 5.45.
164Zadanie 5.46.
164Zadanie 18.
171Zadanie 19.
171Zadanie 20.
171Zadanie 21.
172Zadanie 22.
172Zadanie 23.
172Zadanie 32.
173Zadanie 36.
174Zadanie 40.
174