W tym zadaniu musisz obliczyć, na ile uczeń rozwiązał dobrze, a ile źle, jeśli po rozwiązaniu 20 zadań uczeń zgromadził 80 punktów, przy czym za każde bezbłędne rozwiązane zadanie uczeń otrzymuje 10 punktów, ale traci 5 za każde źle rozwiązane zadanie.
12 – liczba poprawnych rozwiązanych zadań
8 – liczba błędnych rozwiązanych zadań
Zapisz niewiadome:
Zinterpretuj dane:
Uczeń rozwiązał 20 zadań.
Za każde poprawne wykonane zadanie otrzymuje 10 punktów, a za złe 5 punktów. Uzyskał 80 punktów.
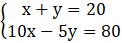
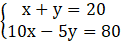
Utwórz układ równań:
Wyznacz z pierwszego równania x.
Podstaw wyznaczone x do drugiego równania.
Wyznacz x.
Rozwiązanie zadania:
12 – liczba poprawnych rozwiązanych zadań
8 – liczba błędnych rozwiązanych zadań
Zadanie 5.1.
153Zadanie 5.2.
153Zadanie 5.3.
153Zadanie 5.4.
153Zadanie 5.6.
154Zadanie 5.7.
154Zadanie 5.8.
154Zadanie 5.9.
154Zadanie 5.10.
155Zadanie 5.11.
155Zadanie 5.12.
155Zadanie 5.13.
155Zadanie 5.14.
156Zadanie 5.15.
156Zadanie 5.16.
156Zadanie 5.17.
157Zadanie 5.18.
157Zadanie 5.19.
158Zadanie 5.20.
158Zadanie 5.21.
158Zadanie 5.22.
158Zadanie 5.23.
159Zadanie 5.24.
159Zadanie 5.25.
160Zadanie 5.26.
160Zadanie 5.27.
160Zadanie 5.28.
160Zadanie 5.29.
160Zadanie 5.30.
161Zadanie 5.31.
161Zadanie 5.34.
161Zadanie 5.35.
162Zadanie 5.36.
162Zadanie 5.37.
162Zadanie 5.38.
163Zadanie 5.39.
163Zadanie 5.40.
163Zadanie 5.41.
163Zadanie 5.42.
163Zadanie 5.44.
164Zadanie 5.45.
164Zadanie 5.46.
164Zadanie 18.
171Zadanie 19.
171Zadanie 20.
171Zadanie 21.
172Zadanie 22.
172Zadanie 23.
172Zadanie 32.
173Zadanie 36.
174Zadanie 40.
174