W tym zadaniu musisz obliczyć obecny wiek ojca i córki, jeśli przed 10 laty ojciec był cztery razy starszy od córki. Za 10 lat oboje będą mieli razem 100 lat.
| 10 lat temu | Za 10 lat | obecnie | |
| Wiek ojca | a-10 | a+10 | a |
| Wiek córki | b-10 | b+10 | b |
62 – wiek ojca
24 – wiek córki
Niewiadome:
| 10 lat temu | Za 10 lat | obecnie | |
| Wiek ojca | a-10 | a+10 | a |
| Wiek córki | b-10 | b+10 | b |
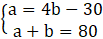
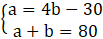
Zinterpretuj dane .Stwórz równania:
Przed 10 laty ojciec był cztery razy starszy od córki.
Za 10 lat oboje będą mieli razem 100 lat.
Stwórz układ.
Rozwiąż go, podstawiając do drugiego wyznaczone a z pierwszego równania.
Policz a.
62 – wiek ojca
24 – wiek córki
Zadanie 5.1.
153Zadanie 5.2.
153Zadanie 5.3.
153Zadanie 5.4.
153Zadanie 5.6.
154Zadanie 5.7.
154Zadanie 5.8.
154Zadanie 5.9.
154Zadanie 5.10.
155Zadanie 5.11.
155Zadanie 5.12.
155Zadanie 5.13.
155Zadanie 5.14.
156Zadanie 5.15.
156Zadanie 5.16.
156Zadanie 5.17.
157Zadanie 5.18.
157Zadanie 5.19.
158Zadanie 5.20.
158Zadanie 5.21.
158Zadanie 5.22.
158Zadanie 5.23.
159Zadanie 5.24.
159Zadanie 5.25.
160Zadanie 5.26.
160Zadanie 5.27.
160Zadanie 5.28.
160Zadanie 5.29.
160Zadanie 5.30.
161Zadanie 5.31.
161Zadanie 5.34.
161Zadanie 5.35.
162Zadanie 5.36.
162Zadanie 5.37.
162Zadanie 5.38.
163Zadanie 5.39.
163Zadanie 5.40.
163Zadanie 5.41.
163Zadanie 5.42.
163Zadanie 5.44.
164Zadanie 5.45.
164Zadanie 5.46.
164Zadanie 18.
171Zadanie 19.
171Zadanie 20.
171Zadanie 21.
172Zadanie 22.
172Zadanie 23.
172Zadanie 32.
173Zadanie 36.
174Zadanie 40.
174