W tym zadaniu musisz obliczyć, masę każdego z kawałków stopu, jeśli zawartość jednego wynosiła 80%, a drugiego 40% czystego złota i stopiono je z 2,4 g czystego złota i otrzymano 12 g stopu o zawartości 78% złota.
Zapisz niewiadome:
Zinterpretuj dane:
Dwa kawałki stopu – jeden o zawartości 80% czystego złota, drugi o zawartości 40% czystego złota stopiono z 2,4 g czystego złota i otrzymano 12 g stopu o zawartości 78% złota.
Stwórz układ równań:
Rozwiąż go.
Podstaw wyznaczone x w pierwszym równaniu do drugiego.
Oblicz x.
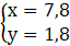
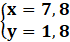
Rozwiązanie układu:
Zadanie 5.1.
153Zadanie 5.2.
153Zadanie 5.3.
153Zadanie 5.4.
153Zadanie 5.6.
154Zadanie 5.7.
154Zadanie 5.8.
154Zadanie 5.9.
154Zadanie 5.10.
155Zadanie 5.11.
155Zadanie 5.12.
155Zadanie 5.13.
155Zadanie 5.14.
156Zadanie 5.15.
156Zadanie 5.16.
156Zadanie 5.17.
157Zadanie 5.18.
157Zadanie 5.19.
158Zadanie 5.20.
158Zadanie 5.21.
158Zadanie 5.22.
158Zadanie 5.23.
159Zadanie 5.24.
159Zadanie 5.25.
160Zadanie 5.26.
160Zadanie 5.27.
160Zadanie 5.28.
160Zadanie 5.29.
160Zadanie 5.30.
161Zadanie 5.31.
161Zadanie 5.34.
161Zadanie 5.35.
162Zadanie 5.36.
162Zadanie 5.37.
162Zadanie 5.38.
163Zadanie 5.39.
163Zadanie 5.40.
163Zadanie 5.41.
163Zadanie 5.42.
163Zadanie 5.44.
164Zadanie 5.45.
164Zadanie 5.46.
164Zadanie 18.
171Zadanie 19.
171Zadanie 20.
171Zadanie 21.
172Zadanie 22.
172Zadanie 23.
172Zadanie 32.
173Zadanie 36.
174Zadanie 40.
174