W tym zadaniu musisz wskazać liczbę, która spełnia równanie 3 – 2 (x – 1) = x.
A. 1
B. -1
C. 0,6
D.
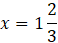
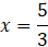
3 – 2(x – 1) = x
3 - 2x + 2 = x
5 – 2x = x /+ 2x
5 = 3x /: 3
Odpowiedź:
D.
Przekształć podane równanie, wyznaczając z niego niewiadomą x.
Ćwiczenie 3.
189Ćwiczenie 4.
189Ćwiczenie 5.
190Zadanie 1.
190Zadanie 3.
191Zadanie 8.
191Zadanie 10.
191Zadanie 11.
192Zadanie 12.
192Zadanie 13.
192Zadanie 14.
192Ćwiczenie 1.
193Ćwiczenie 3.
195Ćwiczenie 4.
196Zadanie 2.
196Zadanie 3.
196Zadanie 4.
196Zadanie 5.
196Zadanie 6.
196Zadanie 7.
196Zadanie 8.
197Zadanie 11.
197Zadanie 13.
197Zadanie Czy to już potrafisz? 3.
197Ćwiczenie 2.
206Ćwiczenie 3.
207Ćwiczenie 5.
207Zadanie 17.
211Ćwiczenie 2.
214Ćwiczenie 3.
215Zadanie 1.
215Zadanie 2.
215Zadanie 6.
215Zadanie 8.
216Zadanie 14.
216Zadanie 6.
218Zadanie 7.
219Zadanie 8.
219Zadanie 9.
219Zadanie 10.
219Zadanie 11.
219Zadanie 1.
186Zadanie 2.
186Zadanie 9.
186