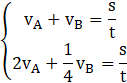
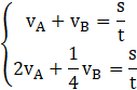
W tym zadaniu musisz obliczyć, z jakimi prędkościami średnimi jechały obydwa pociągi, wiedząc, że gdy wyruszyły z miejscowości oddalonych od siebie o 35 km, to spotkały się po 15 min, natomiast gdyby pociąg jadący z miasta A jechał z prędkością średnią dwa razy większą, zaś pociąg jadący z miasta B jechał z prędkością średnią cztery razy mniejszą, to pociągi te spotkałyby się również po 15 minutach jazdy.
Wypisz dane:
Zapisz niewiadome:
Zinterpretuj dane. Wzór na prędkość:
Stwórz układ.
Rozwiąż układ.
Rozwiązanie.
Zadanie 5.1.
153Zadanie 5.2.
153Zadanie 5.3.
153Zadanie 5.4.
153Zadanie 5.6.
154Zadanie 5.7.
154Zadanie 5.8.
154Zadanie 5.9.
154Zadanie 5.10.
155Zadanie 5.11.
155Zadanie 5.12.
155Zadanie 5.13.
155Zadanie 5.14.
156Zadanie 5.15.
156Zadanie 5.16.
156Zadanie 5.17.
157Zadanie 5.18.
157Zadanie 5.19.
158Zadanie 5.20.
158Zadanie 5.21.
158Zadanie 5.22.
158Zadanie 5.23.
159Zadanie 5.24.
159Zadanie 5.25.
160Zadanie 5.26.
160Zadanie 5.27.
160Zadanie 5.28.
160Zadanie 5.29.
160Zadanie 5.30.
161Zadanie 5.31.
161Zadanie 5.34.
161Zadanie 5.35.
162Zadanie 5.36.
162Zadanie 5.37.
162Zadanie 5.38.
163Zadanie 5.39.
163Zadanie 5.40.
163Zadanie 5.41.
163Zadanie 5.42.
163Zadanie 5.44.
164Zadanie 5.45.
164Zadanie 5.46.
164Zadanie 18.
171Zadanie 19.
171Zadanie 20.
171Zadanie 21.
172Zadanie 22.
172Zadanie 23.
172Zadanie 32.
173Zadanie 36.
174Zadanie 40.
174