W tym zadaniu musisz wskazać szukane dwucyfrowe liczby, których suma jest równa. Gdy mniejszą z nich dopiszesz do większej z lewej strony, to otrzymasz liczbę o 3168 mniejszą od tej, którą byś otrzymał po dopisaniu większej z nich do mniejszej z lewej strony.
Najpierw zapisz szukane niewiadome:
Zinterpretuj dane:
Suma szukanych liczb jest równa 80.
Jeżeli mniejszą z nich dopiszemy do większej z lewej strony, to otrzymamy liczbę o 3168 mniejszą od tej, którą byśmy otrzymali po dopisaniu większej z nich do mniejszej z lewej strony.
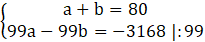
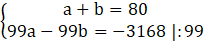
Na podstawie informacji stwórz układ równań:
Rozwiąż go.
Dodaj równania stronami.
Wyznacz b.
Szukana liczba to:
Zadanie 5.1.
153Zadanie 5.2.
153Zadanie 5.3.
153Zadanie 5.4.
153Zadanie 5.6.
154Zadanie 5.7.
154Zadanie 5.8.
154Zadanie 5.9.
154Zadanie 5.10.
155Zadanie 5.11.
155Zadanie 5.12.
155Zadanie 5.13.
155Zadanie 5.14.
156Zadanie 5.15.
156Zadanie 5.16.
156Zadanie 5.17.
157Zadanie 5.18.
157Zadanie 5.19.
158Zadanie 5.20.
158Zadanie 5.21.
158Zadanie 5.22.
158Zadanie 5.23.
159Zadanie 5.24.
159Zadanie 5.25.
160Zadanie 5.26.
160Zadanie 5.27.
160Zadanie 5.28.
160Zadanie 5.29.
160Zadanie 5.30.
161Zadanie 5.31.
161Zadanie 5.34.
161Zadanie 5.35.
162Zadanie 5.36.
162Zadanie 5.37.
162Zadanie 5.38.
163Zadanie 5.39.
163Zadanie 5.40.
163Zadanie 5.41.
163Zadanie 5.42.
163Zadanie 5.44.
164Zadanie 5.45.
164Zadanie 5.46.
164Zadanie 18.
171Zadanie 19.
171Zadanie 20.
171Zadanie 21.
172Zadanie 22.
172Zadanie 23.
172Zadanie 32.
173Zadanie 36.
174Zadanie 40.
174