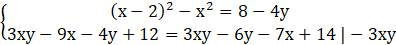
W tym zadaniu musisz rozwiązać algebraicznie dany układ równań
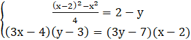
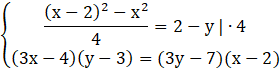
Rozwiąż układ równań.
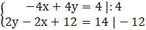
Równania są takie same.
Układ nieoznaczony.
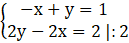
Wyznacz y w zależności od x.
Zwizualizuj to na rysunku.
Zadanie 5.1.
153Zadanie 5.2.
153Zadanie 5.3.
153Zadanie 5.4.
153Zadanie 5.6.
154Zadanie 5.7.
154Zadanie 5.8.
154Zadanie 5.9.
154Zadanie 5.10.
155Zadanie 5.11.
155Zadanie 5.12.
155Zadanie 5.13.
155Zadanie 5.14.
156Zadanie 5.15.
156Zadanie 5.16.
156Zadanie 5.17.
157Zadanie 5.18.
157Zadanie 5.19.
158Zadanie 5.20.
158Zadanie 5.21.
158Zadanie 5.22.
158Zadanie 5.23.
159Zadanie 5.24.
159Zadanie 5.25.
160Zadanie 5.26.
160Zadanie 5.27.
160Zadanie 5.28.
160Zadanie 5.29.
160Zadanie 5.30.
161Zadanie 5.31.
161Zadanie 5.34.
161Zadanie 5.35.
162Zadanie 5.36.
162Zadanie 5.37.
162Zadanie 5.38.
163Zadanie 5.39.
163Zadanie 5.40.
163Zadanie 5.41.
163Zadanie 5.42.
163Zadanie 5.44.
164Zadanie 5.45.
164Zadanie 5.46.
164Zadanie 18.
171Zadanie 19.
171Zadanie 20.
171Zadanie 21.
172Zadanie 22.
172Zadanie 23.
172Zadanie 32.
173Zadanie 36.
174Zadanie 40.
174