W tym zadaniu musisz wyznaczyć liczbę nieparzystą trzycyfrową podzielną przez 5, w której suma cyfr setek i dziesiątek wynosi 9, przy czym gdy zamienisz miejscami cyfry dziesiątek i jedności otrzymasz liczbę o 18 mniejszą od początkowej.
275
Zapisz niewiadome:
Zinterpretuj dane:
Suma cyfr setek i dziesiątek wynosi 9.
Po zamianie miejscami cyfry dziesiątek i jedności otrzymamy liczbę o 18 mniejszą od początkowej.
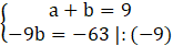
Zapisz układ równań.
Wyznacz a.
Początkowa liczba miała wygląd: ab5, czyli
275
Zadanie 5.1.
153Zadanie 5.2.
153Zadanie 5.3.
153Zadanie 5.4.
153Zadanie 5.6.
154Zadanie 5.7.
154Zadanie 5.8.
154Zadanie 5.9.
154Zadanie 5.10.
155Zadanie 5.11.
155Zadanie 5.12.
155Zadanie 5.13.
155Zadanie 5.14.
156Zadanie 5.15.
156Zadanie 5.16.
156Zadanie 5.17.
157Zadanie 5.18.
157Zadanie 5.19.
158Zadanie 5.20.
158Zadanie 5.21.
158Zadanie 5.22.
158Zadanie 5.23.
159Zadanie 5.24.
159Zadanie 5.25.
160Zadanie 5.26.
160Zadanie 5.27.
160Zadanie 5.28.
160Zadanie 5.29.
160Zadanie 5.30.
161Zadanie 5.31.
161Zadanie 5.34.
161Zadanie 5.35.
162Zadanie 5.36.
162Zadanie 5.37.
162Zadanie 5.38.
163Zadanie 5.39.
163Zadanie 5.40.
163Zadanie 5.41.
163Zadanie 5.42.
163Zadanie 5.44.
164Zadanie 5.45.
164Zadanie 5.46.
164Zadanie 18.
171Zadanie 19.
171Zadanie 20.
171Zadanie 21.
172Zadanie 22.
172Zadanie 23.
172Zadanie 32.
173Zadanie 36.
174Zadanie 40.
174