W tym zadaniu musisz wyznaczyć liczby naturalne a i b, przy czym liczba naturalna a jest o 3 większa od podwojonej liczby naturalnej b, natomiast gdy od liczby b odejmiemy 1, to otrzymana różnica będzie trzy razy mniejsza od liczby a.
Wypisz dane.
Zinterpretuj dane:
Liczba naturalna a jest o 3 większa od podwojonej liczby naturalnej b.
Jeśli od liczby b odejmiemy 1, to otrzymana różnica będzie trzy razy mniejsza od liczby a.
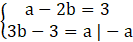
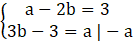
Stwórz układ równań:
Dodaj stronami.
Oblicz a.
Rozwiązanie.
Zadanie 5.1.
153Zadanie 5.2.
153Zadanie 5.3.
153Zadanie 5.4.
153Zadanie 5.6.
154Zadanie 5.7.
154Zadanie 5.8.
154Zadanie 5.9.
154Zadanie 5.10.
155Zadanie 5.11.
155Zadanie 5.12.
155Zadanie 5.13.
155Zadanie 5.14.
156Zadanie 5.15.
156Zadanie 5.16.
156Zadanie 5.17.
157Zadanie 5.18.
157Zadanie 5.19.
158Zadanie 5.20.
158Zadanie 5.21.
158Zadanie 5.22.
158Zadanie 5.23.
159Zadanie 5.24.
159Zadanie 5.25.
160Zadanie 5.26.
160Zadanie 5.27.
160Zadanie 5.28.
160Zadanie 5.29.
160Zadanie 5.30.
161Zadanie 5.31.
161Zadanie 5.34.
161Zadanie 5.35.
162Zadanie 5.36.
162Zadanie 5.37.
162Zadanie 5.38.
163Zadanie 5.39.
163Zadanie 5.40.
163Zadanie 5.41.
163Zadanie 5.42.
163Zadanie 5.44.
164Zadanie 5.45.
164Zadanie 5.46.
164Zadanie 18.
171Zadanie 19.
171Zadanie 20.
171Zadanie 21.
172Zadanie 22.
172Zadanie 23.
172Zadanie 32.
173Zadanie 36.
174Zadanie 40.
174