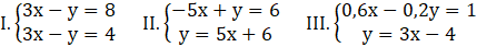
W tym zadaniu musisz wskazać, które układy równań z
I układ.
Układ sprzeczny.
II układ.
Układ nieoznaczony.
III układ.
Układ sprzeczny.
Układy sprzeczne to I i III.
Odp. C. I i III
I układ.
Po lewej stronie jest to samo równanie, natomiast po prawej stronie inna, czyli to samo daje coś innego, czyli układ jest sprzeczny.
II układ.
Przekształć równanie.
Dwa równania są takie same, czyli układ nieoznaczony.
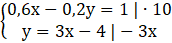
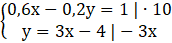
III układ.
Przekształć równanie.
Mamy tak samo jak przy pierwszym układzie, czyli sprzeczność.
Układy sprzeczne to I i III.
Zadanie 5.1.
153Zadanie 5.2.
153Zadanie 5.3.
153Zadanie 5.4.
153Zadanie 5.6.
154Zadanie 5.7.
154Zadanie 5.8.
154Zadanie 5.9.
154Zadanie 5.10.
155Zadanie 5.11.
155Zadanie 5.12.
155Zadanie 5.13.
155Zadanie 5.14.
156Zadanie 5.15.
156Zadanie 5.16.
156Zadanie 5.17.
157Zadanie 5.18.
157Zadanie 5.19.
158Zadanie 5.20.
158Zadanie 5.21.
158Zadanie 5.22.
158Zadanie 5.23.
159Zadanie 5.24.
159Zadanie 5.25.
160Zadanie 5.26.
160Zadanie 5.27.
160Zadanie 5.28.
160Zadanie 5.29.
160Zadanie 5.30.
161Zadanie 5.31.
161Zadanie 5.34.
161Zadanie 5.35.
162Zadanie 5.36.
162Zadanie 5.37.
162Zadanie 5.38.
163Zadanie 5.39.
163Zadanie 5.40.
163Zadanie 5.41.
163Zadanie 5.42.
163Zadanie 5.44.
164Zadanie 5.45.
164Zadanie 5.46.
164Zadanie 18.
171Zadanie 19.
171Zadanie 20.
171Zadanie 21.
172Zadanie 22.
172Zadanie 23.
172Zadanie 32.
173Zadanie 36.
174Zadanie 40.
174