x – cena hot doga
y – cena puszki napoju
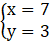
Gdyby hot dog i puszka napoju były sprzedawane oddzielnie, to hot kosztowałby 7 zł, a puszka napoju 3.
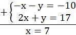
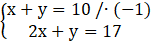
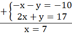
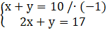
Oznacz cenę hot doga jako x oraz cenę puszki napoju jak y. Następnie stwórz układ równań. Pierwsze równanie to suma ceny hot doga i ceny puszki napoju, która jest równa 10, drugie równanie to suma ceny 2 hot dogów i ceny puszki napoju, która jest równa 17. Pomnóż pierwsze równanie przez -1, aby otrzymać przy niewiadomej y liczby przeciwne, a następnie dodaj do siebie równania.
Dzięki temu wyliczysz jedną niewiadomą, którą następnie podstaw do jednego z równań i wylicz drugą niewiadomą.