x – cena biletu dla dorosłego
y – cena biletu dla dziecka
Sprzedano 40 biletów dla dorosłych i 35 biletów dla dzieci.
Oznacz liczbę biletów dla dorosłych jako x, a liczbę biletów dla dzieci jako y. Pani Olga sprzedała 75 biletów dla dzieci i dorosłych, co zapisz za pomocą równania:
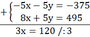
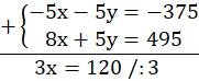
x + y = 75
Wiesz także, że bilet dla dorosłego kosztował 8 zł, a więc dochód ze sprzedaży biletów dla dorosłych zapisz jako 8x, z kolei bilet dla dziecka kosztował 5 zł, więc dochód ze sprzedaży tych biletów zapisz jako 5y. Łączna kwota ze sprzedaży wyniosła 495 zł, a więc zapisz drugie równanie:
8x + 5y = 495
Następnie układ rozwiąż metodą przeciwnych współczynników, w tym celu pomnóż pierwsze równanie przez -5 i dodaj do siebie stronami równania.
Po wyliczeniu x dane podstaw do pierwszego równania i wylicz y.