x – wywrotka 3-tonowa
y – wywrotka 5-tonowa
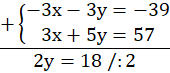
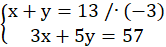
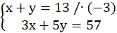
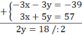
Oznacz jako x liczbę wywrotek trzytonowych, a jako y liczbę wywrotek pięciotonowych. W sumie żwir był przewożony przez 13 wywrotek, a więc suma wywrotek trzytonowych (x) i wywrotek pięciotonowych (y) jest równa 13. Wywrotka trzytonowa przewozi 3 t żwiru, co możesz zapisać jako 3x, a pięciotonowa 5t, co możesz zapisać jako 5y. W sumie przewieziono 57t, dlatego zapisz równanie 3x + 5y = 13. Następnie równanie rozwiąż metodą przeciwnych współczynników, w tym celu pomnóż pierwsze równanie przez -3 i dodaj do siebie równia. Po wyliczeniu y dane podstaw do pierwszego równania i wylicz x.
Następnie od liczby wywrotek pięciotonowych odejmij wywrotki trzytonowe, w celu wyliczenia różnicy pomiędzy ich ilością.