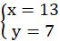
Te liczby to 13 i 7.
Suma liczb x i y wynosi 20, zapisz to jako:
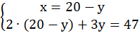
x + y = 20.
Suma podwojonej liczby x, czyli 2x i potrojonej liczby y, czyli 3y daje 47, zapisz jako:
2x + 3y = 47
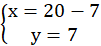
Układ równań rozwiąż metodą podstawiania. Wyznacz x, przenosząc y na drugą stronę równania. Następnie za x w drugim równaniu podstaw wyliczoną wartość. Wylicz y, następnie do pierwszego równania podstaw wyliczoną wartość i wylicz x.