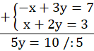
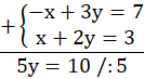
W tym zadaniu układ równań rozwiąż za pomocą metody przeciwnych współczynników. Następnie sprawdź otrzymane rozwiązanie.
Sprawdź, czy współczynniki przy jednej z niewiadomych są liczbami przeciwnymi, a następnie dodaj do siebie równania.
Dzięki temu wyliczysz jedną niewiadomą, którą następnie podstaw do jednego z równań i wylicz drugą niewiadomą.
Zadanie Na początek
Ćwiczenie 1.
Podpunkt a)
Podpunkt b)
Podpunkt c)
Podpunkt d)
Ćwiczenie 2.1.
Ćwiczenie 2.2.
Podpunkt e)
Podpunkt f)
Ćwiczenie 3.
Zadanie 1.
Podpunkt g)
Podpunkt h)
Podpunkt i)
Zadanie 2.
Ćwiczenie 2.
Zadanie To się liczy!
Zadanie branżowe 3.
Zadanie branżowe 4.
Ćwiczenie 4.
Zadanie branżowe 2.
Zadanie branżowe 3
Zadanie branżowe 1.
Zadanie branżowe 5.
Zadanie 3.
Zadanie 4.
Zadanie 5.
Zadanie 6.
Zadanie 7.