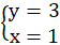
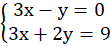
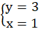
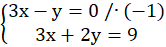
Układ rozwiąż za pomocą metody podstawiania.
Aby rozwiązać równanie metodą podstawiania, w jednym z równań wyznacz niewiadomą, a następnie podstaw ją w drugim równaniu:
Po wyliczeniu jednej niewiadomej, podstaw ją do jednego z równań, aby wyliczyć drugą niewiadomą:
Zadanie Na początek
Ćwiczenie 1.
Podpunkt a)
Podpunkt b)
Podpunkt c)
Podpunkt d)
Ćwiczenie 2.1.
Ćwiczenie 2.2.
Podpunkt e)
Podpunkt f)
Ćwiczenie 3.
Zadanie 1.
Podpunkt g)
Podpunkt h)
Podpunkt i)
Zadanie 2.
Ćwiczenie 2.
Zadanie To się liczy!
Zadanie branżowe 3.
Zadanie branżowe 4.
Ćwiczenie 4.
Zadanie branżowe 2.
Zadanie branżowe 3
Zadanie branżowe 1.
Zadanie branżowe 5.
Zadanie 3.
Zadanie 4.
Zadanie 5.
Zadanie 6.
Zadanie 7.