x – liczba jabłek
y – liczba gruszek
Oznacz jako x liczbę jabłek, a jako y liczbę gruszek. Skoro wiemy, że w sumie było 120 kg jabłek i gruszek, możesz zapisać równanie x + y = 120. Wiemy także, że 10% jabłek było zepsutych – możesz to zapisać jako 0,1x. Z kolei gruszek zepsutych było 30%, co możesz zapisać jako 0,3y. Razem zepsutych jabłek i gruszek było 15% wszystkich owoców, a więc 15% z 120kg, czyli 0,15
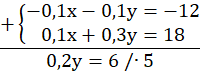
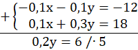
Rozwiąż równanie metodą przeciwnych współczynników, mnożąc pierwszego równanie przez -0,1, a następnie dodaj równania stronami.
Po wyliczeniu y podstaw go do pierwszego równania w celu wyliczenia x.
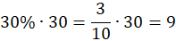
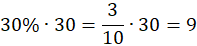
Wynikiem jest całkowita liczba jabłek i gruszek, dlatego wykonaj jeszcze dodatkowe działania w celu wyliczenia, ile kilogramów owoców było zepsute (pomnóż procent zepsutych owoców przez liczbę ich kilogramów. Ostatecznie odejmij ilość kilogramów zepsutych od całkowitej liczby kolejno jabłek i gruszek).