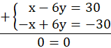
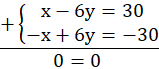
Ten układ równań jest układem nieoznaczonym.
Pomnóż pierwsze równanie przez 2, aby otrzymać przy niewiadomej x liczby przeciwne, a następnie dodaj do siebie równania.
Wszystkie niewiadome oraz wiadome się redukują, co oznacza, że układ równań jest nieoznaczony, ponieważ układ równań ma nieskończenie wiele rozwiązań.