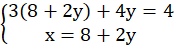
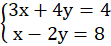
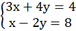
Aby rozwiązać równanie metodą podstawiania, w jednym z równań wyznacz niewiadomą, a następnie podstaw ją w drugim równaniu:
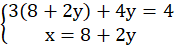
Po wyliczeniu jednej niewiadomej, podstaw ją do jednego z równań, aby wyliczyć drugą niewiadomą:
Na koniec podstaw rozwiązania układu równań do układu równań.