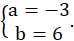
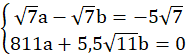
Podana para liczb nie spełnia układu równań.
Jeśli niewiadome są po różnych stronach, to porównaj do siebie obie strony po podstawieniu liczb. Podstaw a = -3 oraz b = 6 do pierwszego równania, a potem oblicz równanie. To samo zrób w drugim równaniu. Jeśli wynik obu równań jest taki sam jak w podanym układzie równań, to para liczb a = -3 i b = 6 spełniają równanie.