Ten układ równań jest układem nieoznaczonym.
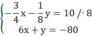
Pomnóż pierwsze równanie przez 8, aby otrzymać przy niewiadomej x liczby przeciwne, a następnie dodaj do siebie równania.
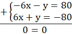
Wszystkie niewiadome oraz wiadome się redukują, co oznacza, że układ równań jest nieoznaczony, ponieważ układ równań ma nieskończenie wiele rozwiązań.