Tymi liczbami są 2 i 3.
Wiedząc, że jeśli do liczby x dodasz podwojoną liczbę y, czyli 2y, otrzymasz 8, możesz zapisać równanie:
x + 2y = 8
Z kolei biorąc pod uwagę informację, że jeśli od połowy liczby x, czyli 0,5x, odejmiesz potrojoną liczbę y, czyli 3y, otrzymasz -8, możesz zapisać drugie równanie:
0.5x - 3y = -8
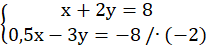
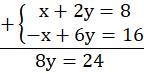
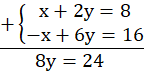
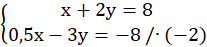
Następnie układ rozwiąż metodą przeciwnych współczynników, w tym celu pomnóż drugie równanie przez -2 i dodaj do siebie stronami równania.
Po wyliczeniu y dane podstaw do pierwszego równania i wylicz x.