Wypisz dowolne trzy pary liczb x i y, które spełniają równanie .
Pierwsza para:
Druga para:
Trzecia para:
Podaj dowolną liczbę x lub y, a następnie policz drugą niewiadomą poprzez podstawienie jej do wzoru 3x + y = 12.
Zadanie Na początek
Ćwiczenie 1.
Podpunkt a)
Podpunkt b)
Podpunkt c)
Podpunkt d)
Ćwiczenie 2.1.
Ćwiczenie 2.2.
Podpunkt e)
Podpunkt f)
Ćwiczenie 3.
Zadanie 1.
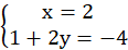
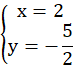
Podpunkt g)
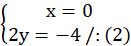
Podpunkt h)
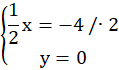
Podpunkt i)
Zadanie 2.
Ćwiczenie 2.
Zadanie To się liczy!
Zadanie branżowe 3.
Zadanie branżowe 4.
Ćwiczenie 4.
Zadanie branżowe 2.
Zadanie branżowe 3
Zadanie branżowe 1.
Zadanie branżowe 5.
Zadanie 3.
Zadanie 4.
Zadanie 5.
Zadanie 6.
Zadanie 7.