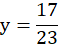
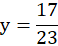
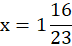
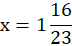
Pomnóż drugie równanie przez 4, aby otrzymać przy niewiadomej x liczby przeciwne, a następnie dodaj do siebie równania.
Dzięki temu wyliczysz jedną niewiadomą, którą następnie podstaw do jednego z równań i wylicz drugą niewiadomą.