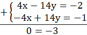
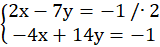
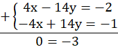
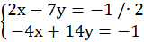
Zadanie

W tym zadaniu zdecyduj czy układ równań jest oznaczony, nieoznaczony czy sprzeczny.

Rozwiązanie

Wyjaśnienie

Zadania z tego działu
Rozdział V. Układ równań liniowych
89
Powtórzenie rozdziału. Układy równań liniowych. Zadania podsumowujące
105
Powtórzenie rozdziału. Układy równań liniowych. Sprawdź, czy potrafisz
106