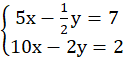
Układ równań nie jest układem sprzecznym.
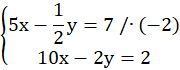
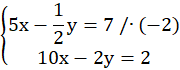
Pomnóż pierwsze równanie przez (-2), aby otrzymać przy niewiadomej x liczby przeciwne, a następnie dodaj do siebie równania.
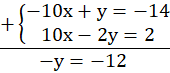
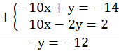
Jako że da się wyliczyć niewiadome, układ nie jest układem sprzecznym.