Oblicz pole zamalowanej figury wiedząc, że jeden bok prostokąta jest dwa razy krótszy od drugiego.
Rozwiązanie
Wyjaśnienie
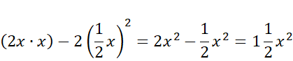
Pole zamalowanej części to pole całego prostokąta bez pól 4 trójkątów prostokątnych równoramiennych. Zauważ, że te 4 trójkąty tworzą dwa kwadraty o boku Oblicz pola tych kwadratów i odejmij od pola prostokąta.