x – cena wafelka
y – cena gałki lodów
Gałka lodów kosztuje 2 zł 50 gr, a wafelek 60gr.
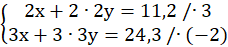
Oznacz jako cenę wafelka jako x, a cenę gałki loda jako y. Wiedząc, że dwa lody po dwie gałki kosztują 11 zł 20 gr, zapisz równanie, musisz przy tym pamiętać, że jeśli kupujesz dwa lody, potrzebne są dwa wafelki i w każdym z tych dwóch wafelków będą dwie gałki, ostatecznie więc równanie będzie mieć postać:
Z kolei wiedząc, że trzy lody po trzy gałki każdy kosztują 24 zł 30 gr, zapisz równanie, jednak znów musisz przy tym pamiętać, że jeśli kupujesz trzy lody, potrzebne są trzy wafelki i w każdym z tych trzech wafelków będą trzy gałki, ostatecznie więc drugie równanie będzie mieć postać:
Następnie układ rozwiąż metodą przeciwnych współczynników, w tym celu pomnóż pierwsze równanie przez 3, a drugie przez -2 i dodaj do siebie stronami równania.
Po wyliczeniu y dane podstaw do pierwszego równania i wylicz x.