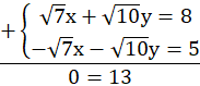
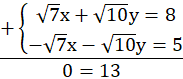
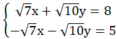
W tym zadaniu rozwiąż układ równań .
Sprzeczność
Dodaj do siebie równania.
Obie niewiadome się redukują, co oznacza, że układ równań jest sprzecznym, ponieważ żadna para liczb nie spełnia danego układu.
Zadanie Na początek
Ćwiczenie 1.
Podpunkt a)
Podpunkt b)
Podpunkt c)
Podpunkt d)
Ćwiczenie 2.1.
Ćwiczenie 2.2.
Podpunkt e)
Podpunkt f)
Ćwiczenie 3.
Zadanie 1.
Podpunkt g)
Podpunkt h)
Podpunkt i)
Zadanie 2.
Ćwiczenie 2.
Zadanie To się liczy!
Zadanie branżowe 3.
Zadanie branżowe 4.
Ćwiczenie 4.
Zadanie branżowe 2.
Zadanie branżowe 3
Zadanie branżowe 1.
Zadanie branżowe 5.
Zadanie 3.
Zadanie 4.
Zadanie 5.
Zadanie 6.
Zadanie 7.