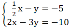
W tym zadaniu rozwiąż układ równań .
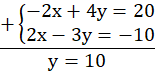
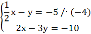
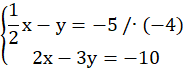
Pomnóż pierwsze równanie przez (-4), aby otrzymać przy niewiadomej x liczby przeciwne, a następnie dodaj do siebie równania.
Dzięki temu wyliczysz jedną niewiadomą, którą następnie podstaw do jednego z równań i wylicz drugą niewiadomą.
Zadanie Na początek
Ćwiczenie 1.
Podpunkt a)
Podpunkt b)
Podpunkt c)
Podpunkt d)
Ćwiczenie 2.1.
Ćwiczenie 2.2.
Podpunkt e)
Podpunkt f)
Ćwiczenie 3.
Zadanie 1.
Podpunkt g)
Podpunkt h)
Podpunkt i)
Zadanie 2.
Ćwiczenie 2.
Zadanie To się liczy!
Zadanie branżowe 3.
Zadanie branżowe 4.
Ćwiczenie 4.
Zadanie branżowe 2.
Zadanie branżowe 3
Zadanie branżowe 1.
Zadanie branżowe 5.
Zadanie 3.
Zadanie 4.
Zadanie 5.
Zadanie 6.
Zadanie 7.