Zadanie

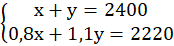
W tym zadaniu oznacz niewiadome oraz stwórz układ równań na podstawie podanych informacji: Za gitarę oraz wzmacniacz kosztowały razem 2400 zł. Cena wzmacniacza została podniesiona o 10%, a cena gitary została obniżona o 20%. Po tych zmianach cena zestawu kosztowała 2220 zł.

Rozwiązanie

Wyjaśnienie

Zadania z tego działu
Rozdział V. Układ równań liniowych
89
Powtórzenie rozdziału. Układy równań liniowych. Zadania podsumowujące
105
Powtórzenie rozdziału. Układy równań liniowych. Sprawdź, czy potrafisz
106