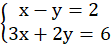
Wskaż dokończenie zdania, które jest prawidłowe. Rozwiązaniem układu równań jest para liczb
A.(2, 0).
B.(1, 1).
C.(3, 2).
D.(0, 2).
Rozwiązanie
Wyjaśnienie
Pierwsza liczba w nawiasie reprezentuje x, a druga y. Podstaw liczbę 2 za x oraz 0 za y w układzie równań i wykonaj obliczenia. W obu równaniach lewa strona równa się prawej, to znaczy, że para liczb (2, 0) jest rozwiązaniem układu równań.