x – ilość normalnych biletów
y – ilość ulgowych biletów
Kupiono 8 biletów normalnych oraz 2 bilety ulgowe.
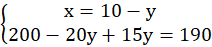
Oznacz ilość biletów normalnych jako x, a ulgowych jako y. Ułóż układ równań. W pierwszym równaniu napisz sumę biletów normalnych oraz ulgowych, dającą wynik 10. W drugim równaniu napisz sumę ilości biletów pomnożonych odpowiednio przez ich cenę, dającą wynik 190.
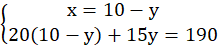
Aby rozwiązać równanie metodą podstawiania, w jednym z równań wyznacz niewiadomą, a następnie podstaw ją w drugim równaniu:
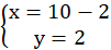
Po wyliczeniu jednej niewiadomej, podstaw ją do jednego z równań, aby wyliczyć drugą niewiadomą:
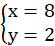
Na koniec podstaw rozwiązania układu równań do układu równań.