Zadanie

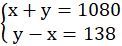
W tym zadaniu oznacz niewiadome oraz stwórz układ równań na podstawie podanych informacji: Powieść, która ma dwa tomy ma łącznie 1090 stron. Pierwszy tom ma 138 stron mniej niż drugi.

Rozwiązanie

Wyjaśnienie

Zadania z tego działu
Rozdział V. Układ równań liniowych
89
Powtórzenie rozdziału. Układy równań liniowych. Zadania podsumowujące
105
Powtórzenie rozdziału. Układy równań liniowych. Sprawdź, czy potrafisz
106